• Shopping Cart 0
  • 01911127519
  • reportpretest@gmail.com
  • follow on facebook
MyExaminer
  •  MCQ Questions
  •  Login
  •  Packages
  •  Register
  •  Helps 
    •  How to Given Exam From Desktop/Laptop
    •  How To Buy Packages
    •  How To Given Exam From Mobile
  •  About Us 
    •  Terms & Conditions
    •  Refund policy
    •  Privacy Policy
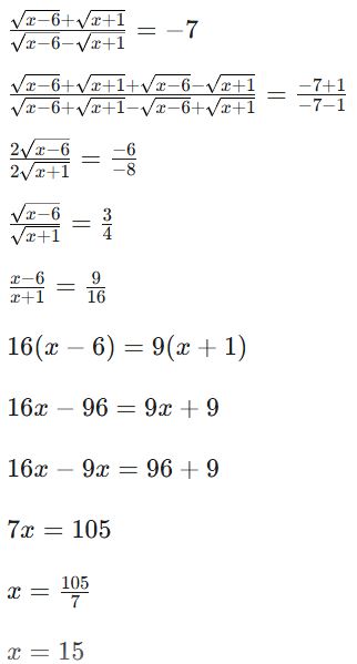
If {√(x - 6) + √(x + 1)} / {√(x - 6) - √(x + 1)} = -7, the value of x is

A 11

B 15

C 9

D Non of these

Solution

Correct Answer: Option B

Practice More Questions on Our App!

Download our app for free and access thousands of MCQ questions with detailed solutions

Download Android App Login to Website

Related Topics

  • Karmasangsthan Bank Officer (Cash) –2015
  • City Bank Ltd. - Management Trainee Officer - 2018
  • এনআরবিসি ব্যাংক (টিএও) - ২৬.১০.২০২৪
  • সম্মনিত ৯ ব্যাংক ও আর্থিক প্রতিষ্ঠান (অফিসার-সাধারণ) – ১০.০৩.২০২৩
  • Trust Bank Ltd. 2010 (AEO)
  • Pubali Bank Ltd. Senior Officer 2012
  • City Bank Ltd. - Probationary Officer - 2016
  • Social Islami Bank Ltd. - Probationary Officer - 2017
  • SBAC Bank Ltd. MTO 2014
  • Jamuna Bank, Probationary Officer 2012
  • Dhaka Bank Ltd. 2016 Trainee Officer (Cash)
  • Bangladesh Samabaya Bank 2015 Officer
  • Sonali Bank- 2010 (Sr.Officer)
  • Mutual Trust Bank, Probationary Officer 2012
  • Janata Bank 2015 (AEO)
  • Agrani Bank 2012 Officer Cash
  • Bangladesh Krishi Bank 2011 (Sr. Officer)
  • বাংলাদেশ কৃষি ব্যাংক অফিসার ২০১৭
  • Islami Bank Bangladesh Ltd. - ATO (General/Cash) - 2017
  • পূবালী ব্যাংক লিমিটেড (প্রবেশনারী অফিসার) - ৩০.০৯.২০২৩
/app/webroot/img