১৪ তম শিক্ষক নিবন্ধন পরীক্ষা (100 টি প্রশ্ন )
i
ব্যাখ্যা (Explanation):
- কথ্যরীতির সমন্বয়ে শিষ্টজনের ব্যবহৃত ভাষাকে আদর্শ চলিত ভাষা বলে।
- এই ভাষাটিতে কথ্য ভাষার সরলতা এবং সাধু ভাষার শুদ্ধতা উভয়ই রয়েছে।
- এই চলিত রীতিরই অন্যনাম ‘প্রমিত রীতি’। এটি ‘মান রীতি’ নামেও পরিচিত।
- প্রমথ চৌধুরী ‘হালখাতা’ গদ্যগ্রন্থে প্রথম চলিত রীতির প্রয়োগ ঘটান এবং ১৯১৪ সালে প্রকাশিত ‘সবুজপত্র’ পত্রিকার মাধ্যমে বাংলা সাহিত্যে চলিত রীতির প্রয়োগকে প্রতিষ্ঠা করেন।
i
ব্যাখ্যা (Explanation):
প্রশ্নমতে,লাভ হয়=৯০-৭৫=১৫ টাকা
এখন,৭৫ টাকায় লাভ হয়=১৫ টাকা
অতএব,১ টাকায় লাভ হয়=১৫/৭৫ টাকা
 ১০০ টাকায় লাভ হয়=(৭৫×১০০)/৭৫=২০ টাকা

i
ব্যাখ্যা (Explanation):
log525√5
=log552×51/2
=log55 2+1/2
=log55(4+1)/2
=log555/2
=5/2log55
=5/2×1
=5/2

i
ব্যাখ্যা (Explanation):
  4​x = 2
বা, (22)​x=21
বা, 22x=21
বা, 2x=1
∴ x=1/2
i
ব্যাখ্যা (Explanation):
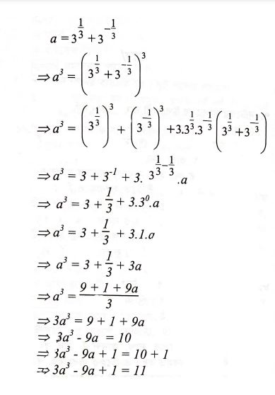
দেওয়া আছে, x+(1/x) =√2

x3+(1/x3) = {x+(1/x)}3-3.x.1/x{x+(1/x)}
               =  (√2)3-3.√2
               = 2√2-3√2
               = -√2
i
ব্যাখ্যা (Explanation):
⇒ সঠিক উত্তর: Very few problems in our country are as bad as water-logging.
⇒ এটি Degree পরিবর্তনের একটি গুরুত্বপূর্ণ নিয়ম। Superlative Degree-তে "one of the" থাকলে Positive Degree শুরু করতে হয় "Very few" দিয়ে।
⇒ এরপর subject-এর plural form (problems in our country) + plural verb (are) + as + adjective-এর positive form (worst-এর positive হলো bad) + as + মূল subject (water-logging) বসে।
⇒ এই নিয়ম অনুযায়ী সঠিক বাক্যটি হলো অপশন B।
i
ব্যাখ্যা (Explanation):
16x² - 25y²
=(4x)² - (5y)² 
= (4x + 5y)(4x - 5y)

12xy - 15y2

=3y(4x - 5y) 

সুতরাং, 16x² - 25y² এবং 12xy - 15y2 এর গ.সা.গু. হল (4x - 5y)।
i
ব্যাখ্যা (Explanation):
২৫% লাভে বিক্রয়মূল্য ১০০+২৫=১২৫ টাকা
  এখন,বিক্রয়মূল্য ১২৫ টাকা হলে ক্রয়মূল্য =১০০ টাকা
বিক্রয়মূল্য ১ টাকা হলে ক্রয়মূল্য=১০০/১২৫ টাকা
বিক্রয়মূল্য ৫০০ টাকা হলে ক্রয়মূল্য =(১০০ ×৫০০)/১২৫=৪০০ টাকা

i
ব্যাখ্যা (Explanation):
এখানে,
p=400
r=6%=0.06
I=120, n=?
আমরা জানি,
   I=pnr/100
⇒n= (I x 100)/(P x r)
    = (120 x 100)/(400 x 6)
    = 5


এখানে প্রথম ৩০টি প্রশ্নের ব্যাখ্যা দেখতে পারবেন, বাকি সব প্রশ্নের সম্পূর্ণ ব্যাখ্যা পেতে এখনই অ্যাপ ইন্সটল করুন।

Install App
i
ব্যাখ্যা (Explanation):

৪র্থ সমানুপাতিক 'ক' হলে -
  ৪ : ৬ = ৮ : ক
⇒ ৪/৬ = ৮/ক
⇒ ৪ক = ৮ × ৬
⇒ ক = (৮ × ৬)/৪
⇒ ক = ১২

i
ব্যাখ্যা (Explanation):
আমরা জানি,পরস্পর সন্নিহিত দুটি কোণের সমষ্টি ২ সমকোণ বা ১৮০° এর সমান হয়।তবে তাদেরকে সম্পূরক কোণ বলে।
অতএব,৭০° এর সম্পূরক কোণ=১৮০°-৭০°=১১০°   

i
ব্যাখ্যা (Explanation):
বৃত্তের ব্যাসার্ধ r=20/2=10মি
পরিধি =2π r=2 × π ×10=20π মি

i
ব্যাখ্যা (Explanation):
সমবাহু ত্রিভুজের একবাহু x হলে,
ক্ষেত্রফল=(√3/4) X x²
i
ব্যাখ্যা (Explanation):
বর্গক্ষেত্রের একবাহু a হলে  কর্ণ= a√2
   ''            ''       4  ''      '' =4√2


i
ব্যাখ্যা (Explanation):
মনেকরি, নির্ণয় সংখ্যা=x
প্রশ্নমতে,
  x এর ৮% = ১৮
বা, x * (৮/১০০) = ১৮ 
বা, x = (১৮ * ১০০)/৮
অতএব  x = ২২৫ 


i
ব্যাখ্যা (Explanation):

৫ : ৭ = (৫ x ৩) : (৭ x ৩) = ১৫ : ২১ এবং
৩ : ১৩ = (৩ x ৭) : (১৩ x ৭) = ২১ : ৯১

সুতরাং, ধারাবাহিক অনুপাত = ১৫ : ২১ : ৯১

i
ব্যাখ্যা (Explanation):
⇒ সঠিক উত্তর: D) We must endure what we cannot cure.
⇒ প্রশ্নটি Passive Voice-এ আছে (must be endured)। একে Active করতে হলে আমাদের একটি সাধারণ Subject (যেমন: We বা One) ধরে নিতে হবে।
⇒ Passive-এর ‘must be endured’ হয়ে যাবে Active-এর ‘must endure’, এবং ‘cannot be cured’ হয়ে যাবে ‘cannot cure’। এটি একটি বিখ্যাত প্রবাদ বাক্য, যার অর্থ— যা প্রতিকার করা যায় না, তা সহ্য করতে হয়।
i
ব্যাখ্যা (Explanation):
⇒ সঠিক উত্তর: C) No sooner had the teacher entered in the classroom than the students stood up.
⇒ ‘As soon as’ যুক্ত Affirmative বাক্যকে Negative করার প্রচলিত নিয়ম হলো ‘No sooner had’ ব্যবহার করা।
⇒ এর গঠনটি হলো: No sooner had + Subject + V3 (Verb-এর Past Participle) + ... + Than + Subject + V2 (Verb-এর Past Simple)।
⇒ অপশন C-তে ‘No sooner had’ এবং ‘than’-এর সঠিক ব্যবহার রয়েছে। যদিও ‘entered’ এর পর ‘in’ এর ব্যবহার খুব একটা প্রয়োজন ছিল না, তবুও গঠনগত দিক থেকে অন্য অপশনগুলোর তুলনায় এটিই সঠিক উত্তর।
i
ব্যাখ্যা (Explanation):
⇒ সঠিক উত্তর: B) Let us love our country.
⇒ কোনো Assertive বাক্য যদি ‘We’ দিয়ে শুরু হয় এবং তা দ্বারা কোনো প্রস্তাব বা আদেশ/উপদেশ বোঝায়, তবে তাকে Imperative করার সময় ‘Let us’ বা ‘Let’s’ দিয়ে শুরু করতে হয় এবং এরপর মূল Verb থেকে শেষ পর্যন্ত বসে।

এখানে প্রথম ৩০টি প্রশ্নের ব্যাখ্যা দেখতে পারবেন, বাকি সব প্রশ্নের সম্পূর্ণ ব্যাখ্যা পেতে এখনই অ্যাপ ইন্সটল করুন।

Install App
i
ব্যাখ্যা (Explanation):
যে sentence-এ একটিমাত্র Subject ও একটিমাত্র Finite Verb থাকে তাকে Simple Sentence বলে।
প্রদত্ত চারটি অপশনের মধ্যে শুধুমাত্র 'Undoubtedly he is a brave man.' বাক্যটি simple Sentence-এর শর্ত পূরণ করছে।
i
ব্যাখ্যা (Explanation):
sentence টি কে interrogative করতে auxiliary verb is বাক্যের শুরুতে বসবে।
Is+friendship+anthing+extension.
i
ব্যাখ্যা (Explanation):
telecast অর্থ কোন কিছু প্রচার করা  । বাক্যটি present tense এ আছে ।তাই শূন্যস্থানে শুরু telecast  হবে ।
Now-a-days educative programs are telecast on different TV channels.=আজকালকার শিক্ষামূলক প্রোগ্রামগুলি বিভিন্ন টিভি চ্যানেলে প্রচারিত হয়।
i
ব্যাখ্যা (Explanation):
'At a loss' =puzzled or uncertain what to think, say, or do.(কী ভাববেন, বলবেন, বা করবেন তা নিয়ে হতবাক বা অনিশ্চিত।)
i
ব্যাখ্যা (Explanation):
decrease=হ্রাস
abate=কমান
destroy=ধ্বংস
expand=বিস্তৃত করা
amplify=প্রশস্ত করা
i
ব্যাখ্যা (Explanation):
Candid (অকপট / সরল / স্পষ্টভাষী) এর antonym বা বিপরীত শব্দ হলো Reserved (স্বল্পভাষী / আত্মসংযমী / চাপা স্বভাবের)।
Example: I expected a candid confession, but he remained reserved.

অন্যদিকে,
⇒ Frank – স্পষ্টবাদী / অকপট (এটি Candid এর সমার্থক)।
⇒ Straight forward – সোজাসাপ্টা / সরল।
⇒ Truthful – সত্যবাদী।
i
ব্যাখ্যা (Explanation):
Docile (বাধ্য / শান্ত) এর অর্থ হলো Tame (পোষা / বশীভূত)।
Example: The docile horse was very easy for the children to ride.

অন্যদিকে,
⇒ Wild – বন্য / অনিয়ন্ত্রিত।
⇒ Angry – রাগান্বিত / ক্রুদ্ধ।
⇒ Disheartened – নিরুৎসাহিত / বিমর্ষ।
i
ব্যাখ্যা (Explanation):

এখানে, AB=BC=CD=AD
এবং∠CBD=30°
∠ABD=30°
∴ ∠ABC=30°+30°=60°
∴ ∠ADC=60°
তাহলে,
  ∠BAD+∠BCD=360°-(60°+60°)
⇒∠BAD+∠BCD=360°-120°
⇒∠BAD+∠BCD=240°[∠BAD=∠BCD]
⇒∠BAD=120°
⇒ X+X=120°
⇒ 2X=120°
⇒ X = 60°
i
ব্যাখ্যা (Explanation):
6x2-7x-5
=6x2-10x+3x-5
=2x(3x-5)+1(3x-5)
=(2x+1)(3x-5)
i
ব্যাখ্যা (Explanation):

এখানে প্রথম ৩০টি প্রশ্নের ব্যাখ্যা দেখতে পারবেন, বাকি সব প্রশ্নের সম্পূর্ণ ব্যাখ্যা পেতে এখনই অ্যাপ ইন্সটল করুন।

Install App
i
ব্যাখ্যা (Explanation):
ax=y হলে logay=x
সঠিক উত্তর: 0 | ভুল উত্তর: 0