১৮ তম শিক্ষক নিবন্ধন - ১৫.০৩.২০২৪ (100 টি প্রশ্ন )









ফ্রিতে ২ লাখ প্রশ্নের টপিক, সাব-টপিক ভিত্তিক ও ১০০০+ জব শুলুশন্স বিস্তারিতে ব্যাখ্যাসহ পড়তে ও আপনার পড়ার ট্র্যাকিং রাখতে সাইটে লগইন করুন।

লগইন করুন
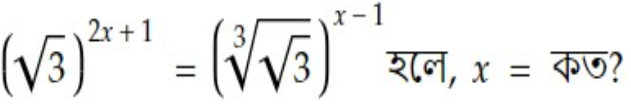
Q40.










ফ্রিতে ২ লাখ প্রশ্নের টপিক, সাব-টপিক ভিত্তিক ও ১০০০+ জব শুলুশন্স বিস্তারিতে ব্যাখ্যাসহ পড়তে ও আপনার পড়ার ট্র্যাকিং রাখতে সাইটে লগইন করুন।

লগইন করুন










ফ্রিতে ২ লাখ প্রশ্নের টপিক, সাব-টপিক ভিত্তিক ও ১০০০+ জব শুলুশন্স বিস্তারিতে ব্যাখ্যাসহ পড়তে ও আপনার পড়ার ট্র্যাকিং রাখতে সাইটে লগইন করুন।

লগইন করুন

সঠিক উত্তর: 0 | ভুল উত্তর: 0