B p + q

C q + r

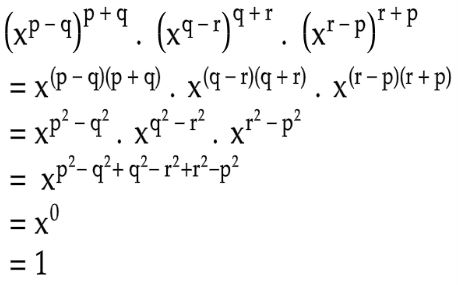
D 1

Solution

Correct Answer: Option D

অ্যাপ/ওয়েবসাইটে রুটিনভিত্তিক নিয়মিত লাইভ পরীক্ষা হচ্ছে।
ব্যাচ-১/পরীক্ষা- ৭২
কোর্স নামঃ সাধারণ জ্ঞান ৭০ মার্ক বেসিক ভিউ বই থেকে
টপিকসঃ
বাংলাদেশ বিষয়াবলি
বাংলাদেশের সরকারব্যবস্থা: মন্ত্রণালয়, প্রশাসনিক কাঠামো, সিভিল সার্ভিস (পেইজ: ৯০৯-৯১৩)
৯০০ পেইজের সম্পূর্ণ বই শেষ করা হবে।
রুটিন দেখুন
পরীক্ষা-৫৬
কোর্স নামঃ ৫১ তম বিসিএস প্রস্ততি - ২৩৬ দিনে সম্পূর্ণ সিলিবাস।
টপিকসঃ
সাধারণ বিজ্ঞান
উদ্ভিদের বৈচিত্র্যঃ উদ্ভিদের শ্রেণিবিভাগ, উদ্ভিদজগৎ, শৈবাল, ছত্রাক, মস, ফার্ন, সপুষ্পক উদ্ভিদ, নগ্নবীজী উদ্ভিদ, আবৃতবীজী উদ্ভিদ, মূল, কান্ড ও পাতা।
উদ্ভিদের বংশবৃদ্ধিঃ উদ্ভিদের প্রজনন, ফটোপিরিওডিজ্ পরাগায়ণ, ফল, বীজের বিস্তরণ অঙ্কুরোদগম, উদ্ভিদের শারীরবৃত্তীয় কার্যাবলিঃ ব্যাপন, অভিস্রবণ, প্রস্বেদন, সালোক সংশ্লেষণ, শ্বসন, উদ্ভিদের সমন্বয়, উদ্ভিদের পুষ্টি, নাইট্রোজেন চক্র, সবুজ বিপ্লব, সার (Fertilizer), উদ্ভিদের অর্থনৈতিক গুরুত্ব।
১০ ফেব্রুয়ারি, ২০২৬
রুটিন দেখুন

Practice More Questions on Our App!

Download our app for free and access thousands of MCQ questions with detailed solutions