• Shopping Cart 0
  • 01911127519
  • reportpretest@gmail.com
  • follow on facebook
MyExaminer
  •  MCQ Questions
  •  Login
  •  Packages
  •  Register
  •  Helps 
    •  How to Given Exam From Desktop/Laptop
    •  How To Buy Packages
    •  How To Given Exam From Mobile
  •  About Us 
    •  Terms & Conditions
    •  Refund policy
    •  Privacy Policy
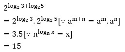
2log23 +log25 এর মান কত ?

A 8

B 2

C 15

D 10

Solution

Correct Answer: Option C



Practice More Questions on Our App!

Download our app for free and access thousands of MCQ questions with detailed solutions

Download Android App Login to Website

Related Topics

  • বিসিএস ১০তম
  • বিসিএস ১৯ তম
  • বিসিএস ৪১তম
  • ৪৮তম (বিশেষ) বিসিএস প্রিলিমিনারি (Dental Science) -১৮.০৭.২০২৫
  • বিসিএস ২৪ তম বাতিল
  • ৪৮ তম (বিশেষ) বিসিএস প্রিলিমিনারি টেস্ট (Medical Science) - ১৮.০৭.২০২৫
  • বিসিএস ২৯ তম
  • বিসিএস ৪৭ তম - ১৯.০৯.২০২৫
  • বিসিএস ১৪ তম
  • বিসিএস ৪৪তম
  • বিসিএস ৪৫তম
  • বিসিএস ১১তম
  • বিসিএস ৩৬ তম
  • বিসিএস ৩১ তম
  • বিসিএস ৩৪ তম
  • বিসিএস ৩৩ তম
  • বিসিএস ২৫ তম
  • বিসিএস ২১ তম
  • বিসিএস ১৬ তম
  • বিসিএস ৩৫ তম
/app/webroot/img