A ± 1

B ± 2

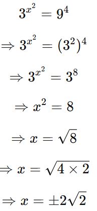
C ± 2√2

D ± 3

Solution

Correct Answer: Option C

অ্যাপ/ওয়েবসাইটে রুটিনভিত্তিক নিয়মিত লাইভ পরীক্ষা হচ্ছে।
পরীক্ষা – ৭৯
কোর্স নামঃ প্রাইমারি প্রধান শিক্ষক নিয়োগ প্রস্তুতি (২য় ব্যাচ)
টপিকসঃ
আন্তর্জাতিক বিষয়াবলী সম্পূর্ণ সিলেবাস (১০০ মার্ক)
৫ ফেব্রুয়ারি থেকে শুরু।
রুটিন দেখুন
পরীক্ষা-৫৪
কোর্স নামঃ ৫১ তম বিসিএস প্রস্ততি - ২৩৬ দিনে সম্পূর্ণ সিলিবাস।
টপিকসঃ
বাংলা সাহিত্য
খুব গুরুত্বপূর্ণঃ কাজী নজরুল ইসলাম।
গুরুত্বপূর্ণঃ মানিক বন্দ্যোপাধ্যায়, এস. ওয়াজেদ আলি, কায়কোবাদ, কাজী ইমদাদুল হক, কাজী আবদুল ওদুদ, জহির রায়হান, জাহানারা ইমাম, দ্বিজেন্দ্রলাল রায়, নির্মলেন্দু গুণ, নুরুল মোমেন, প্যারীচাঁদ মিত্র,।
কম গুরুত্বপূর্ণঃ আবুল হাসান, আসাদ চৌধুরী, আরজ আলী মাতুব্বর, আশরাফ সিদ্দিকী, আহমদ ছফা, ড. আহমদ শরীফ, আহসান হাবীব, আহমদ রফিক, ইব্রাহীম খাঁ, ঈশ্বরচন্দ্র গুপ্ত, উইলিয়াম কেরি, এম. আর. আখতার মুকুল, কাঙাল হরিনাথ, কাজী মোতাহার হোসেন, কামিনী রায়, কালিদাস রায়, কালীপ্রসন্ন ঘোষ, কালীপ্রসন্ন।
১০ ফেব্রুয়ারি, ২০২৬
রুটিন দেখুন

Practice More Questions on Our App!

Download our app for free and access thousands of MCQ questions with detailed solutions