প্রাণিসম্পদ অধিদপ্তর (ল্যাবরেটরি টেকনিশিয়ান) - ১৮.০৩.২০২৩ (70 টি প্রশ্ন )
i
ব্যাখ্যা (Explanation):
২৫ এর বর্গমূল = √২৫ = √৫ = ৫
i
ব্যাখ্যা (Explanation):
 = ১৬
i
ব্যাখ্যা (Explanation):

আমরা জানি, ১৮০° থেকে বড় কিন্তু ৩৬০° থেকে

ছোট কোণকে প্রবৃদ্ধ কোণ বলে।

∴ ২৫৩° কোণ হলো প্রবৃদ্ধ কোণ।

 
i
ব্যাখ্যা (Explanation):
৩ x ০.৩ + ২ = ০.৯+২ = ২.৯
i
ব্যাখ্যা (Explanation):
১ থেকে ১০০ পর্যন্ত মৌলিক সংখ্যা ২৫ট। (২, ৩, ৫, ৭, ১১, ১৩, ১৭, ১৯, ২৩, ২৯, ৩১, ৩৭, ৪১, ৪৩, ৪৭, ৫৩, ৫৯, ৬১, ৬৭, ৭১, ৭৩, ৭৯, ৮৩, ৮৯, ৯৭)
i
ব্যাখ্যা (Explanation):
১ এর বর্গমূল = √১ = ১
i
ব্যাখ্যা (Explanation):
যে কোনো ত্রিভুজের তিন কোণের সমষ্টি = ১৮০º
i
ব্যাখ্যা (Explanation):
১ ইঞ্চি = ২.৫৪ সে.মি.
i
ব্যাখ্যা (Explanation):
০.১ × ০.১ × ০.১ = ০.০০১

ফ্রিতে ২ লাখ প্রশ্নের টপিক, সাব-টপিক ভিত্তিক ও ১০০০+ জব শুলুশন্স বিস্তারিতে ব্যাখ্যাসহ পড়তে ও আপনার পড়ার ট্র্যাকিং রাখতে সাইটে লগইন করুন।

লগইন করুন
i
ব্যাখ্যা (Explanation):
দেওয়া আছে, y = 3x 
এখন, x+ 3y = 40
⇒x+3.3x =40
⇒x+9x = 40
⇒10x = 40
⇒x = 40/10 = 4
∴ y = 3.4 = 12
i
ব্যাখ্যা (Explanation):
২৫ এর ২৫% = ২৫ × ২৫/১০০
=৬২৫/১০০ = ৬.২৫
i
ব্যাখ্যা (Explanation):
৯০° এর সম্পূরক কোণ = ১৮০° - ৯০° = ৯০°
i
ব্যাখ্যা (Explanation):
৪× ৫× ০× ১= ০
(কারণ ০ এর সাথে যে কোনো সংখ্যা গুণ করা হোক না কেন গুণফল সর্বদা ০ হবে|)
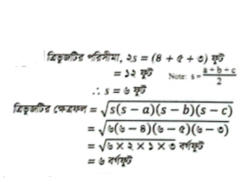
i
ব্যাখ্যা (Explanation):
i
ব্যাখ্যা (Explanation):

 মনেকরি, বাগানটি বর্গাকার

∴বাগানটির একবাহু = √২২৫ = ১৫ মি.

∴পরিসীমা = ৪×১৫ = ৬০ মি.

 
i
ব্যাখ্যা (Explanation):
- ১৯৭১ সালে বাংলাদেশের মহান মুক্তিযুদ্ধে অংশগ্রহণকারী তরুণ মুক্তিযোদ্ধাদের প্রতীকী ভাস্কর্য হলো 'সাবাস বাংলাদেশ শিল্পী নিতুন কুণ্ডুর তৈরি এই ভাস্কর্যটি রাজশাহী বিশ্ববিদ্যালয়ে অবস্থিত।
- ১৯৯১ সালে এর নির্মাণ কাজ শুরু হয়। নির্মাণ কাজ শেষ হলে ১৯৯২ সালে এর ফলক উম্মোচন করেন শহীদ জননী জাহানারা ইমাম।
- নিতুন কুণ্ডের আরো কয়েকটি ভাস্কর্য হলো- সার্ক ফোয়ারা, কদম ফোয়ারা ও সদা জাগ্রত মুক্তিবাহিনী।
i
ব্যাখ্যা (Explanation):
- সেকেন্ডারি মার্কেট স্টক মার্কেটের সাথে সম্পর্কিত। এটি এমন একটি প্লাটফর্ম যেখানে বিনিয়োগকারীরা নিজেদের মধ্যে শেয়ার ক্রয়-বিক্রয় করে থাকেন।
- বিভিন্ন কোম্পানি কর্তৃক পূর্বে ইস্যুকৃত লিস্টেড শেয়ার ও বড় কমার্শিয়াল পেপার, ট্রেজারি বিল সেকেন্ডারি মার্কেটে বিনিয়োগকারীরা নিজেদের মধ্যে ক্রয়-বিক্রয় করে।
- বাংলাদেশে শেয়ার বাজার বা স্টক মার্কেট ২টি। যথাঃ ঢাকা স্টক এক্সচেঞ্জ (১৯৫৪) ও চট্টগ্রাম স্টক একচেঞ্জ (১৯৯৫)।
i
ব্যাখ্যা (Explanation):
- বৃহত্তর কুষ্টিয়া জেলায় সবচেয়ে বেশি তামাক উৎপন্ন হয়।
- ম্যানিলা ও সুমাত্রা তামাকের উন্নত দুটি জাত।
i
ব্যাখ্যা (Explanation):
• পূর্ব পাকিস্তানের স্বাধিকার প্রশ্নে ১৯৬৬ সালের ৫-৬ ফেব্রুয়ারি লাহোরে বিরোধী দলগুলোর এক সম্মেলনে শেষ মুজিবুর রহমান ঐতিহাসিক ছয় দফা দাবি পেশ করেন। পরবর্তীতে ২৩ মার্চ, ১৯৬৬ সালে আনুষ্ঠানিকভাবে ছয় দফা' ঘোষণা করেন। জাতির জনক একে 'পূর্ব পাকিস্তানের বাঁচার দাবি বলে অভিহিত করেন।
• ছয় দফার দাবিসমূহ হলো:
১. শাসনতান্ত্রিক কাঠামো ও রাষ্ট্রের প্রকৃতি নির্ধারণ।
২. কেন্দ্রীয় সরকারের হাতে ক্ষমতা।
৩. স্বতন্ত্র মুদ্রা ব্যবস্থার প্রচলন।
৪. বৈদেশিক বাণিজ্য।
৫. রাজস্ব, কর ও শুল্ক বিষয়ক ক্ষমতা।
৬. আঞ্চলিক নিরাপত্তার জন্য আধা সামরিক বাহিনী গঠনের ক্ষমতা।
•  ছয়দফা কর্মসূচির তিনটি স্বতন্ত্র বিষয় হলো প্রথম ১ ও ২ রাষ্ট্রের প্রশাসনিক, ৩, ৪ ও ৫ অর্থনৈতিক এবং ৬ সামরিক কাঠামো।

ফ্রিতে ২ লাখ প্রশ্নের টপিক, সাব-টপিক ভিত্তিক ও ১০০০+ জব শুলুশন্স বিস্তারিতে ব্যাখ্যাসহ পড়তে ও আপনার পড়ার ট্র্যাকিং রাখতে সাইটে লগইন করুন।

লগইন করুন
i
ব্যাখ্যা (Explanation):
• বাংলা ভাষায় আগত ফারসি শব্দসমূহ: আসমান, খোদা, গুনাহ, দোযখ, নামায, পয়গম্বর, ফেরেশতা, বেহেশত, রোযা, হাদিস কারখানা, চশমা, জবানবন্দি, তোশক, দফতর, দরবার, দোকান, দস্তখত, দৌলত, নালিশ, বাদশাহ, বান্দা, মেথর, রসদ, হাঙ্গামা, আমদানি, জানোয়ার, জিন্দা, নমুনা, বদমাশ, রফতানি, বারান্দা, ফিরিঙ্গি ইত্যাদি।
i
ব্যাখ্যা (Explanation):
• খেলাফত ও অসহযোগ আন্দোলন থেকে শুরু করে স্বাধীন বাংলাদেশ প্রতিষ্ঠার সময়কাল পর্যন্ত প্রতিটি ঘটনার প্রত্যক্ষদর্শী ও সক্রিয় কর্মী আবুল মনসুর আহমদ রচিত স্মৃতিকথামূলক রাজনীতি বিষয়ক গ্রন্থ 'আমার দেখা রাজনীতির পঞ্চাশ বছর' (১৯৬৯)। বইটিতে খেলাফত ও অসহযোগ আন্দোলন থেকে শুরু করে স্বাধীন বাংলাদেশের প্রথম নির্বাচন পর্যন্ত ঘটনাবলি স্থান পেয়েছে।

তাঁর রচিত উপন্যাস:
- 'সত্যমিথ্যা' (১৯৫৩),
- 'জীবনক্ষুধা' (১৯৫৫),
- ‘আবে হায়াত' (১৯৬৮);

গল্পগ্রন্থ:
- 'আয়না' (১৯৩৫),
- 'ফুড কনফারেন্স' (১৯৪৪),
- ‘আসমানী পর্দা' (১৯৬৪)।
i
ব্যাখ্যা (Explanation):
- ২ ফেব্রুয়ারি, ২০২০ সালে বাংলা একাডেমির সাবেক মহাপরিচালক শামসুজ্জামান খানের সম্পাদনায় জাতির পিতা বঙ্গবন্ধু শেখ মুজিবুর রহমানের আত্মজীবনীমূলক গ্রন্থ 'আমার দেখা নয়াচীন' প্রকাশিত হয়।
- গ্রন্থটির ভূমিকা লিখেছেন বঙ্গবন্ধুর জ্যেষ্ঠ কন্যা শেখ হাসিনা; প্রচ্ছদ করেন তারিক সুজাত। প্রকাশ করেন বাংলা একাডেমি এবং ইংরেজিতে অনুবাদ করেন অধ্যাপক ড. ফকরুল আলম।

- ২-১২ অক্টোবর, ১৯৫২ সালে গণচীনের পিকিংয়ে এশীয়-প্রশান্ত মহাসাগরীয় দেশগুলোর প্রতিনিধিদের নিয়ে একটি শান্তি সম্মেলনের আয়োজন করা হয়, যেখানে ভারত ও পাকিস্তানের ডেলিগেটরাও অংশ নেন। সেই সম্মেলনে তৎকালীন পূর্ব পাকিস্তান থেকে জাতির পিতা বঙ্গবন্ধু শেখ মুজিবুর রহমানসহ আরো কয়েকজন অংশগ্রহণ করেন। এটি ছিল বঙ্গবন্ধুর প্রথম চীন সফর। ১৯৫৭ সালে তিনি শিল্প, বাণিজ্য, শ্রম, দুর্নীতি দমন ও ভিলেজ-এইড দফতরের মন্ত্রী থাকাকালে পাকিস্তান সংসদীয় দলের নেতা হিসেবে দ্বিতীয়বার চীন সফর করেন। চীন ভ্রমণের অভিজ্ঞতার আলোকে তিনি ১৯৫৪ সালে কারাবন্দী থাকা অবস্থায় একটি ডায়েরি লেখেন। সেই ডায়েরি’র পরিমার্জিত রূপ 'আমার দেখা নয়া চীন।

- বঙ্গবন্ধু শেখ মুজিবুর রহমান রচিত প্রথম গ্রন্থ 'অসমাপ্ত আত্মজীবনী' এবং দ্বিতীয় গ্রন্থ 'কারাগারের রোজনামচা।
i
ব্যাখ্যা (Explanation):
- শওকত ওসমানের মুক্তিযুদ্ধভিত্তিক উপন্যাস 'নেকড়ে অরণ্য' (১৯৭৩)। এটি বাংলাদেশের স্বাধীনতা সংগ্রাম চলাকালে হায়েনারূপী পাকসেনারা বন্দিনী বাঙালি রমণীদের ওপর যে মর্মদ্ভদ নির্যাতন চালিয়েছিল তারই আলেখ্য।

- সৈয়দ ওয়ালীউল্লাহর মনঃসমীক্ষণমূলক উপন্যাস 'কাঁদো নদী কাঁদো' (১৯৬৮)।
- সেন রাজা েরাজত্বকাল ও তুর্কি আক্রমণের পটভূমিতে রচিত শওকত আলীর উপন্যাস 'প্রদোষে প্রাকৃতজন' (১৯৮৪)।
- আবুল ফজল রচিত উপন্যাস 'রাঙা প্রভাত' (১৯৫৭)।
i
ব্যাখ্যা (Explanation):
আমরা যখন ব্রাউজারে কোন ওয়েব অ্যাড্রেস লিখে Request করি, তখন ব্রাউজার প্রথমে ঐ ওয়েব অ্যাড্রেসের জন্য IP Address চেয়ে DNS (Domain Name System Server) সার্ভারে Request পাঠায়। DNS সার্ভারে সকল ওয়েব অ্যাড্রেসের বিপরীতে IP Address গুলো সংরক্ষিত থাকে, তাই DNS সার্ভার ওয়েব অ্যাড্রেসের বিপরীতে IP Address ব্রাউজারকে রিটার্ন করে। তারপর ব্রাউজার ঐ IP অ্যাড্রেসের ওয়েব সার্ভারে ওয়েবসাইটের জন্য Request পাঠায় এবং website-টি প্রদর্শিত হয়।
i
ব্যাখ্যা (Explanation):
উদ্ভিদ বাতাসের নাইট্রোজেন সরাসরি গ্রহণ করতে পারে না। বাতাসের নাইট্রোজেন বজ্রবৃষ্টির সময় বৃষ্টির পানির সাথে মিশে নাইট্রিক এসিড রূপে ভূ-পৃষ্ঠে পতিত হয়। পরে তা নাইট্রেড রূপে বিশ্লেষিত হয়ে উদ্ভিদের গ্রহণ উপযোগী হয়।
i
ব্যাখ্যা (Explanation):
বাংলাদেশের প্রথম কয়লানির্ভর বিদ্যুৎকেন্দ্র বড়পুকুরিয়া । এটি দিনাজপুর জেলার পার্বতীপুরে অবস্থিত।
i
ব্যাখ্যা (Explanation):
১৯৭১ সালের ১ আগস্ট নিউইয়র্কের ম্যাডিসন স্কয়ার গার্ডেনে পূর্ব পাকিস্তানের (বর্তমান বাংলাদেশ) শরণার্থীদের জন্য আন্তর্জাতিক সচেতনতা এবং ত্রাণ তহবিল গঠনের লক্ষ্যে জর্জ হ্যারিসন ও রবি শঙ্করের উদ্যোগে 'কনসার্ট ফর বাংলাদেশ' অনুষ্ঠিত হয়। এই কনসার্টের প্রধান শিল্পী ছিলেন জর্জ হ্যারিসন। এছাড়া পণ্ডিত রবিশঙ্কর, এরিক ক্লাপটন, লিয়ন রাসেল, বিলি প্রিস্টন ও বব ডিলান সঙ্গীত পরিবেশন করেন। এই কনসার্টে মোট ৪০ হাজার মানুষের সমাগম হয়।
i
ব্যাখ্যা (Explanation):
বঙ্গবন্ধু ১৯৭৩ সালে সাভার ডেইরি ফার্মে অস্ট্রেলিয়া থেকে ফ্রিসিয়ান জাতের Cattle আনেন।
i
ব্যাখ্যা (Explanation):
বিশ্ববিখ্যাত বিজ্ঞানী ম্যারি কুরি ও পিয়েরি কুরি দম্পতি বিশ্ব শান্তির সংগ্রামে যে অবদান রেখেছেন, তা স্মরণীয় করে রাখতে বিশ্ব শান্তি পরিষদ ১৯৫০ সাল থেকে ফ্যাসিবাদবিরোধী সাম্রাজ্যবাদবিরোধী সংগ্রামে, মানবতার কল্যাণে, শান্তির সপক্ষে বিশেষ অবদানের জন্য বরণীয় ব্যক্তি ও সংগঠনকে 'জুলিও কুরি' শান্তি পদকে ভূষিত করে আসছে। ১৯৭২ সালের ১০ অক্টোবর চিলির রাজধানী সান্তিয়াগোতে বিশ্ব শান্তি পরিষদের প্রেসিডেন্সিয়াল কমিটির সভায় বাঙালি জাতির মুক্তি আন্দোলন এবং বিশ্ব শান্তির স্বপক্ষে অবদানের স্বীকৃতিস্বরূপ জাতির জনক বঙ্গবন্ধু শেখ মুজিবুর রহমানকে 'জুলিও কুরি' শান্তি পদক প্রদানের সিদ্ধান্ত গৃহীত হয়। শান্তি পরিষদের সিদ্ধান্তের প্রেক্ষিতে ১৯৭৩ সালের ২৩ মে বঙ্গবন্ধুকে 'জুলিও কুরি শান্তি পদক' প্রদান করা হয়।

ফ্রিতে ২ লাখ প্রশ্নের টপিক, সাব-টপিক ভিত্তিক ও ১০০০+ জব শুলুশন্স বিস্তারিতে ব্যাখ্যাসহ পড়তে ও আপনার পড়ার ট্র্যাকিং রাখতে সাইটে লগইন করুন।

লগইন করুন
i
ব্যাখ্যা (Explanation):
২০ নভেম্বর ১৮ ডিসেম্বর, ২০২২ সালে কাতারে অনুষ্ঠিত ২২তম ফিফা বিশ্বকাপ ফুটবলে চ্যাম্পিয়ন হয় আর্জেন্টিনা এবং রানার্স আপ ফ্রান্স।
সঠিক উত্তর: 0 | ভুল উত্তর: 0